The reorder point is the quantity on hand when an order is placed. If it has 20-day normal lead time, a safety stock of 1,750 units, and usage of 250 units per day, an order should be placed when 27 days of inventory are on hand, a total of 6,750 units 250 units 27 days).
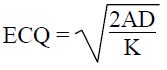
Jed Ryerson Computer Furniture, Inc. RCF) manufactures a line of office computer chairs. The annual demand for the chairs is estimated to be 5,000 units. The annual cost to hold one unit in inventory is US 10 per year, and the cast to initiate a production run is US $1,000. There are no computer chairs on hand, and RCF has scheduled four equal production runs of computer chairs for the coming year, the first of which is to be run immediately. RCF has 250 business days per year, sales occur uniformly throughout the year, and production start-up is within one day. RCF is considering using the following formula for determining the economic order quantity EOQ):

If: A = cast to initiate a production run per purchase order D = annual unit demand K = cost of carrying one unit per year