Home
Qlik
Qlik Sense Business Analyst Certification Exam - June 2018 Release
Qlik.QSBA2018.v2019-05-15.q17
Question 12
Valid QSBA2018 Dumps shared by ExamDiscuss.com for Helping Passing QSBA2018 Exam! ExamDiscuss.com now offer the newest QSBA2018 exam dumps , the ExamDiscuss.com QSBA2018 exam questions have been updated and answers have been corrected get the newest ExamDiscuss.com QSBA2018 dumps with Test Engine here:
Access QSBA2018 Dumps Premium Version (50 Q&As Dumps, 35%OFF Special Discount Code: freecram )
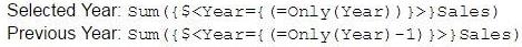
A business analyst must create an interactive table to analyze sales performance for the selected year and
the previous year.
Which are the correct expressions to meet this requirement?
A:
B:
C:
D:
[×]
Download PDF File
Enter your email address to download Qlik.QSBA2018.v2019-05-15.q17.pdf
© 2026 - Free Practice Exam Collection - Freecram | DMCA
Disclaimer:
Freecram doesn't offer Real GIAC Exam Questions. Freecram doesn't offer Real SAP Exam Questions. Freecram doesn't offer Real (ISC)² Exam Questions. Freecram doesn't offer Real CompTIA Exam Questions. Freecram doesn't offer Real Microsoft Exam Questions.
Oracle and Java are registered trademarks of Oracle and/or its affiliates.
Freecram material do not contain actual actual Oracle Exam Questions or material.
Microsoft®, Azure®, Windows®, Windows Vista®, and the Windows logo are registered trademarks of Microsoft Corporation.
Freecram Materials do not contain actual questions and answers from Cisco's Certification Exams. The brand Cisco is a registered trademark of CISCO, Inc.
CFA Institute does not endorse, promote or warrant the accuracy or quality of these questions. CFA® and Chartered Financial Analyst® are registered trademarks owned by CFA Institute.
Freecram does not offer exam dumps or questions from actual exams. We offer learning material and practice tests created by subject matter experts to assist and help learners prepare for those exams. All certification brands used on the website are owned by the respective brand owners. Freecram does not own or claim any ownership on any of the brands.