Valid 200-301 Dumps shared by ExamDiscuss.com for Helping Passing 200-301 Exam! ExamDiscuss.com now offer the newest 200-301 exam dumps, the ExamDiscuss.com 200-301 exam questions have been updated and answers have been corrected get the newest ExamDiscuss.com 200-301 dumps with Test Engine here:

Access 200-301 Dumps Premium Version
(1237 Q&As Dumps, 35%OFF Special Discount Code: freecram)

<< Prev Question Next Question >>

Question 49/55

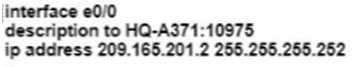
An engineer must configure a/30 subnet between two routers. Which usable IP address and subnet mask combination meets this criteria?

LEAVE A REPLY

Your email address will not be published. Required fields are marked *

Question List (55q)
Question 1: Which two actions are performed by the Weighted Random Early...
Question 2: Refer to the exhibit. Which type of route does R1 use to rea...
Question 3: Refer to the exhibit. What does router R1 use as its OSPF ro...
Question 4: Which QoS Profile is selected in the GUI when configuring a ...
Question 5: Drag and Drop Question Drag and drop the descriptions of fil...
Question 6: Which type of wireless encryption is used for WPA2 in pre-sh...
Question 7: Which command should you enter to configure a device as an N...
Question 8: Refer to the exhibit. The show ip ospf interface command has...
Question 9: Drag and Drop Question Drag and drop the WLAN components fro...
Question 10: What are two characteristics of a controller-based network? ...
Question 11: Drag and Drop Question Drag and drop the application protoco...
Question 12: When configuring a WLAN with WPA2 PSK in the Cisco Wireless ...
Question 13: Which output displays a JSON data representation? (Exhibit)...
Question 14: Which command should you enter to configure an LLDP delay ti...
Question 15: Drag and Drop Question Refer to the exhibit. Drag and drop t...
Question 16: When OSPF learns multiple paths to a network, how does it se...
Question 17: What is the primary different between AAA authentication and...
Question 18: When configuring an EtherChannel bundle, which mode enables ...
Question 19: Which two capacities of Cisco DNA Center make it more extens...
Question 20: Which type of address is the public IP address of a NAT devi...
Question 21: What is the default behavior of a Layer 2 switch when a fram...
Question 22: Which of the following dynamic routing protocols are Distanc...
Question 23: What are two southbound APIs? (Choose two )...
Question 24: Refer to the exhibit. Which feature is enabled by this confi...
Question 25: Which mode must be used to configure EtherChannel between tw...
Question 26: Which two values or settings must be entered when configurin...
Question 27: Which result occurs when PortFast is enabled on an interface...
Question 28: You have two paths for the 10.10.10.0 network - one that has...
Question 29: What are two reasons that cause late collisions to increment...
Question 30: Refer to the exhibit. A network engineer must block access f...
Question 31: Which command must you enter to guarantee that an HSRP route...
Question 32: Which effete does the aaa new-model configuration command ha...
1 commentQuestion 33: Refer to the exhibit. The New York router is configured with...
Question 34: Refer to the exhibit. Which VLAN ID is associated with the d...
Question 35: Which IPv6 address type provides communication between subne...
Question 36: Drag and Drop Question Drag and drop the functions from the ...
Question 37: You have configured a router with an OSPF router ID, but its...
Question 38: A frame that enters a switch fails the Frame Check Sequence....
Question 39: Refer to Exhibit. Which action do the switches take on the t...
Question 40: R1 has learned route 192.168.12.0/24 via IS-IS, OSPF, RIP an...
Question 41: Which unified access point mode continues to serve wireless ...
Question 42: Refer to the exhibit. When PC 1 sends a packet to PC2,the pa...
Question 43: Which command is used to specify the delay time in seconds f...
Question 44: Refer to the exhibit. With which metric was the route to hos...
Question 45: Which command should you enter to view the error log in an E...
Question 46: An email user has been lured into clicking a link in an emai...
Question 47: Which 802.11 frame type is association response?...
Question 48: Which mode allows access points to be managed by Cisco Wirel...
Question 49: An engineer must configure a/30 subnet between two routers. ...
Question 50: An engineer is asked to protect unused ports that are config...
Question 51: Refer to the exhibit. If configuring a static default route ...
Question 52: Which keyword in a NAT configuration enables the use of one ...
1 commentQuestion 53: Refer to Exhibit. An engineer is configuring the NEW York ro...
Question 54: Drag and Drop Question Drag drop the descriptions from the l...
Question 55: What are two benefits of network automation? (Choose two)...