<< Prev Question Next Question >>

Question 11/34

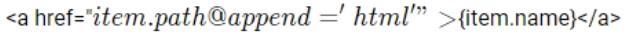
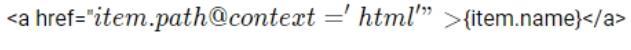
The following anchor tag is not resolving:
<a href="item.path" >{item.name}</a>
Upon further inspection the developer notices that the link has no .html appended to the end of the URL What could be a potential fix for the issue?

LEAVE A REPLY

Your email address will not be published. Required fields are marked *

Question List (34q)
Question 1: A project requires sharing information between SPA component...
Question 2: What two types of testing are available OOB in AEM Cloud Man...
Question 3: In an AEM as a Cloud Service environment, which repository a...
Question 4: On package install content that is already present in the re...
Question 5: What is Out of Scope for the Pattern Detector tool, while do...
Question 6: A customer who is running an AEM application on premise repo...
Question 7: Which type of Cloud Manager tests are enabled for all Cloud ...
Question 8: An AEM application has a Header and Footer authored on every...
Question 9: Which AEM dependency provides APIs for all AEM environments?...
Question 10: Which Maven plugin checks if all the requirements declaratio...
Question 11: The following anchor tag is not resolving: &lt;a href="item....
Question 12: How should a developer create a custom log configuration?...
Question 13: The OSGi configuration is added to a runmode specific config...
Question 14: A developer needs to create a new Title component. The requi...
Question 15: An AEM as a Cloud Service implementation customer wants cont...
Question 16: A developer is working on a project based on core components...
Question 17: A new component called Page Headline needs to be implemented...
Question 18: Which Maven plugin checks if all the requirements declaratio...
Question 19: An AEM application is expected to export a content fragment ...
Question 20: Which practice should be used to push a code fix to make it ...
Question 21: A snippet throws an exception at runtime: @Model(adaptables ...
Question 22: Which configuration must be applied to enable re-fetching of...
Question 23: A custom component has one dialog field: (Exhibit) The devel...
Question 24: An AEM Developer needs to create a new component to help sup...
Question 25: Which option should be used to synchronize user data across ...
Question 26: An application development team needs to create a multi-chan...
Question 27: After defining a Sling Model, what step is required to enabl...
Question 28: SPA components are connected to AEM components via the MapTo...
Question 29: A developer needs to create a dynamic participant step where...
Question 30: A developer needs to create sling models for two fields name...
Question 31: An AEM server is overloaded with too many concurrently runni...
Question 32: A customer is having trouble with some search queries and pr...
Question 33: An AEM Developer needs to build out a project. That contains...
Question 34: An AEM environment is cloned, and the domain and IPs ate cha...